There are two fluid mechanics phenomenons behind how Venturi Blade Fences work.
Bernoulli’s Principle
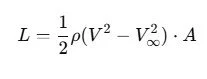
Bernoulli's principle relates fluid velocity and pressure by stating that an increase in the velocity of a fluid is accompanied by a decrease in pressure. This is why the suction side of an airfoil has a negative pressure acting as a lift force. Venturi Blade Fence technology takes this principle every further by channeling the airflow over the suction side of the blade into flow pathways between fences that act to further accelerate the fluid. This results in an even greater suction pressure, and as the numerical study below shows, the lift force in the channel between Venturi Blade Fences is greater than the original blade’s lift force over the same center point to center point distance.
Numerical Study using Simulation Software
Asterion Technologies and Jack Rowney were able to validate the theories behind Venturi Blade Fence technology with the use of simulation software and a numerical study. Through breaking the suction side of the blade into small sections and calculating the fluid velocity, channel area, and resulting suction pressure and lift force, the numerical study was able to conclude that the total lift force coming out of the flow channel between Venturi Blade Fences was significantly greater than the respective total suction side lift force from a blade which had a length equal to the center point to center point of the fences. This also doesn’t even account for the lift force that the top side of the Venturi Blade Fences will experience, although it does assume idealized flow.
This new phenomenon of achieving greater lift through the use of venturi channels on the suction side of an airfoil blade is known as the Rowney Effect, and will be a major disruptor in field of fluid mechanics over the next decade.
Symmetrical Airfoils with Zero Angle of Attack
Practical Applications
When a symmetrical airfoil is stuck by an oncoming fluid with zero angle of attack it causes a significant decrease in the fluids pressure on both sides of the airfoil. This phenomenon can be used to further increase the suction pressure of a blade, resulting in greater lift. Additionally, air will flow over the top of the Venturi Blade Fence, which will cause an additional lift force. Symmetrical airfoil designs are also the lowest drag aerostructures in the world, meaning that the added drag of the Venturi Blade Fence is minimal.

